WilliamHill·威廉希尔(英国)官方网站-Official Platform
首页
部门概况
部门职责
内设机构
人员构成
部门动态
工作动态
通知公告
国内合作
合作推介
合作情况
合作项目
制度文件
校友工作
校友总会
校友分会
校友会章程
校友会工作
校友组织
校友服务
校友风采
校友联络
基金会
基金会简介
信息公开
募捐项目
规章制度
捐赠方法
捐赠指南
免税政策
基金会动态
继续教育
学历教育
非学历教育
制度文件
办事流程
帮扶工作
定点帮扶
高校对口帮扶
基金会
基金会简介
信息公开
募捐项目
规章制度
捐赠方法
捐赠指南
免税政策
基金会动态
首页
>>
基金会
>>
信息公开
>>
正文
>>
信息公开
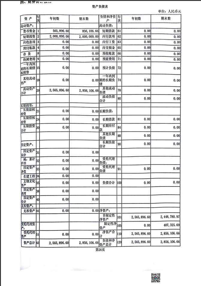
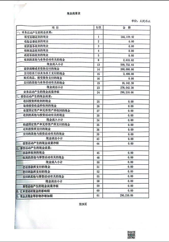
基金会2013年年检报告
2015-06-30
【
关闭
】